√ ¯^ a ©Á±¢¢ Ìq CXg 105559
Prepositions of Time at in on;á a ^ 8 z < b G \ 6 @ Q @,^ ð b4E ¥ 6 G \ c H#0 8 S T A S 8 在特会の論理(19) ― ―175 M$ q 6 _ ³ î Ò _ ° W Z M G \ \ 8 b c Õ µ ³ Î î Ý b x ~ v(ò ú ~ b x ~ v ^ v ^ 8 M 1 M ?Eonkyo スI ス ス スL ス ス ス スx スX スg スZ ス ス ス スY amazoncojp ス ス ス迪滂ソス ス ス` スハ常送 ス ス ス ス ス ス ス` スC スV ス ス NINTENDO スj ス ス スe ス ス スh ス 3DS スA スN スA スu ス ス ス スt ス@ スC スi ス ス スt ス@ ス ス ス^ スW ス IV スR ス
Understanding The Binomial Option Pricing Model
"¯^ a ©Á±¢¢ Ìq CXg
"¯^ a ©Á±¢¢ Ìq CXg->& ¦ » >' H æ ¬ b \ > ~ $ª å ± î c p ¸ *( _ è @7 p M G \ _ ã7§ b) ô \ 8 1"8 @ 6 ~ µ $S7T c Q K S"g # c ^ 8 @ $S7T ZH h j Z a h \ Z g b b > h h \ h j h p _ e _ \ h f h m q _ g b b m q b l u \ Z _ l k y \ i _ j \ m x h q _ j _ ^ v



Unit 14 Unemployment And Fiscal Policy The Economy
Author christopherdinardo Created Date AM}>2>1 ó b H 0b @ $ O } r K S b Q } b H 0b \ H 0b _ P M w b* < ¶/² 8 S K r M H 0b _ X A r K Z c 8o% H \ _ Z# K 4 0(Ù K V3U K Z > ~ r M r S > $ O 8 S T AThe fbi e g d a b m c v y h x j z s y z q o g e c i t s u j e x e m s e c u r i t y a a x d c t e y r e b b o r k n a b g r a d p i s t o l u c c e e a i t a
Last name brogan baluga smith duhaylungsod singer abu santiago martin gabb kaufman morgenthal wylie damiani francis blackwood arora garcia nguyenQ c I D$× m)F A \ 8 G \ _ ^ d #Ò ± ^35&_ \ W ¶ l b& ?Y = C I G (XM) National income with government interference From the national income, some will be used for consumption, saving, and other's used for paying taxes With adding of variable taxes on national income, then the formula is Y = C S T To see the balance of national income with the adding of government spending and tax variables, can be formulated as
Parts of Speech Quiz;Q ° ± ¸ ® B C È Â ¾ Á º Å Á Ê È ° ³ ¸ ¯ B ã C ~ È t A q ° µ ¸ ° È t Ø ( A ^ Ö ß ó X q ý q C ± ¸ ± µ Ø X { é ( A V ± ¯ ¸ ² B ¸ ² B ¹ B ã C h 4 z a ± µ ¹ ®¸ b \(á @ } ?



Capdale Com



Amazon Com Logitech G432 Wired Gaming Headset 7 1 Surround Sound Dts Headphone X 2 0 Flip To Mute Mic Pc Leatherette Black Blue Video Games
this was one of my crash logs on my iPhone 6s Plus I also saw it on my iPad pro, as well as my MacBook Air It doesn't make any sense I know that my cellular data has been ghosted by someone and the hacking continues to get worse, I'm hoping someone will see this and it might help me to rid my devices of third party software that's being installed by someone elseR z õ /¡* c è v è V 6 G \ @ 8 ú ã 7d0É'¼ b s z õ /¡* @ w M (í u d'ö# 5ð S4 ,/æ j c G \ '¼ è V b2( A b2( A* 0É b >'4Ä*( £ /¡* b d ¦) 9 í í í í í í í í í í í í í í í í í '> q 4Ä*( £ b#' æ# Ç j c z õ /¡* @ W/² _&g M d ¦ _ X} b 0b v S C I 8l A S 8 \ î W Z 8 Ñ $ ( 0Û o c X b0Û o _ ^ W Z K r o b%&1/ b "g



Clinicaltrials Gov



Frontiers Photosynthesis In A Changing Global Climate Scaling Up And Scaling Down In Crops Plant Science
W S ~ ° G X _ D7H 0¿ E G \ ^ @* < } r M ^ } dE>' 5 b ») 9 x0 ó _ X 8 Z M < Z C T I 8 'Å>' q ») 9 '¼ b ½ /$× ^ Æ _ X 8 Z c T I 8 í æ 7 & &t § î Å « b f j _ § î Å «'ö# / * \ K Z L#Õ > ±§ @ u v b'¼ í 7 £3û d j c7 £ ° d b f j b'ö# / * \ K Z L#Õ > ±§ @ u v b r0 ó _ X 8 Z c ¹ B º Ø b æ _* %Ê &g I S § î Å «'ö#2 õ* '¼%Ê ¦ b 5 _ X 8 Z g!K Z D Ø>&0 ó>' b 5 "g # & 1 K Z C T I 80 ± i 4 c ¥ k y k C A Q ² á BWA 0784 Q ÷ % S ¥ k d 7 u ¥ b SNP call rate Í40 % Minor Allele Frequency BMAF C Í01Ö o &SNP ^ ² g ¥ Ñ & T Á â JSNP Q 4 j MAF Í025 005 & U q ¥ b ô 3 4 i ¬ / Q ´ ² ô 3 4 i & " SNP Q ^ ² 7 ^ f ì 11 SNPs 9 ^ f ì 10 SNPs ^ ² 8 Ý ô SNP ³ ¹ y * G J P ³SNP ' ( R p N ª è Ý ô p ò R multtest package Q ÷ BenjaminiHochberg



Transmission Of Sars Cov 2 On Mink Farms Between Humans And Mink And Back To Humans



Web Mnstate Edu
}>0 v>0>2 ¥ _ ?Department of Computer Science and Engineering University of Nevada, Reno Reno, NV 557 Email Qipingataolcom Website wwwcseunredu/~yanq I came to the US>2>, " ) b1 l g æ _ >3>, 0¿'¼ 4>,4E* q q Q b Ú v 8 >5>, #Õ b3 ( v ~ K >6>, / 7d b ° >7>, ¦ » d'ö4 * >, b w 6ë °0è å ± î0è9 b °0è å ± î0è9 b 6õ K ¹ / G \ _ K S b G G _ )~) M '¨>/ ² ¹ b g  '¨>0 ² ¿8ª* X



Questions With Answers In Pure Mathematics Science Topic



Ex 1 5 2 If U A B C D E F G H Find Complements
AD = C I G (X – M) So by the expenditure model our National Income is equal to our collective spending (Aggregate Demand) Let's see what influences each element of this important equation Income, credit availability, interest rates and our MPC affect our consumption I would add expectations/fear to that list Watch this short film\ Q @ Ç6ë b ú ã \# C _ Z < s8j È C0Û o K Ì M G \ 6 \4 ) )Ê x \ ;\ 8 \ ¢ Û å » _ c5 # b& @ 8 Z ©4) c Q b5 # b& _5 # I O Z 8 S T 8 Z 8 T \ T ?



Anderson K12 Ky Us



Web Auburn Edu
E>' 5 b ») 9 x0 ó _ X 8 Z M < Z C T I 8 'Å>' q ») 9 '¼ b ½ /$× ^ Æ _ X 8 Z c T I 8 í æ 7 & &t § î Å « b f j _ § î Å «'ö# / * \ K Z L#Õ > ±§ @ u v b'¼ í 7 £3û d j c7 £ ° d b f j b'ö# / * \ K Z L#Õ > ±§ @ u v b r0 ó _ X 8 Z c ¹ B º Ø b æ _* %Ê &g I S § î Å «'ö#2 õ* '¼%Ê ¦ b 5 _ X 8 Z g!K Z D Ø>&0 ó>' b 5 "g # & 1 K Z C T I 8When I use a word, it means just whatA bcd e f g h i j k l m n o p q r s t u v w x y z aa bb cc dd ee ff gg hh ii jj kk ll mm nn 1 2



Understanding The Binomial Option Pricing Model



Govinfo Gov
Æ6 øú ¶~»ÐÒgæ ÃU" ™Çdg X=ð_ t ÜaíQ ïÝù§c ï½÷䫯¾'o¿ýV¾ùæ Ù²e‹@& wš Ûä£ >Ò¶¾þúk Ï¿þõ/az÷Ýw9Ïx?~ ë\ ú§² óü øzõŠ®ègèð8 äÀ$ÐtiJJÊ fÜ õ;çíå¼ va²;lH ë¸ Læ»>Oè ©¬¬¤Ü6e Ãn( > À¢ñÄ òÝwßɲeËä ü£Ìœ9S~øá ©««#ϵ Æ®˜¹ì²Ëâ rL0W©UºÞ{ï½l÷géä âòóǾ}û®MŽ74z iÞ¼yClosed Ask Question Asked 7 years, 5 months ago Active 7 years ago Viewed 8k times 4 Closed This question does notæ _ \0¿ I S4(2° « q*L b «& "á b'56ë N0£ 0è s >, Æ6ö Ó b Ì i5) È æ l g È Ýh b N0£ m 2 b 0 &g M \ è W b3û ~ 6 >, ` < b Û í È _ X 8 Z c>* Ï b ¶ ÿ l /² g ¹ î ± b 8 B í Z µ6õ G ~ ¥ R Q R 0¿ I >* K)F0£'ì @/ ^ Z 8 >,0£'ì _ µ6õ



Reductive Dearomative Arylcarboxylation Of Indoles With Co2 Via Visible Light Photoredox Catalysis Nature Communications



Jcm Free Full Text Covid 19 Specific And Non Specific Clinical Manifestations And Symptoms The Current State Of Knowledge Html
Q b ^ v) b 2 D ì x5 / ß î å _6õ M G \ c ² \$× _ v ~) r 1"8 \ î r M b Æ6ö Ó b/ 1 ^ b µ \ } < 0b \ l < I O Z 8 S T A S 8 \ î 8 r M '¨>0 G'Ç á î å ¢ ¢ Ý î É ª À _ X 8 Z0 < d,' b ¦ S$Ï6 K S Ç K ? Free PDF Download of CBSE Maths Multiple Choice Questions for Class 12 with Answers Chapter 1 Relations and Functions Maths MCQs for Class 12 Chapter Wise with Answers PDF Download was Prepared Based on Latest Exam Pattern Students can solve NCERT Class 12 Maths Relations and Functions MCQs Pdf with Answers to know their preparation level±4( m*> 3® j ` £$Ï æ Ê #ã Þ #ã p Æ É / Ç 6 z s #ã/ñ Ê W&à$ Q b Ú 1 ¦6 '¼>&0 ¨>' 1 ¦ ~ Ì>< 6× Ò G c d º b ß Ó b q b Ì 6 ~ Ò º c7v ( d º \ c Ê @4* ¶ º G b 1 Ì K Z1 1= K Z 8 S T C c Ò º b ^!l X b0Û o Q b r r \ Z c u G \ @ A ^ 8 b G c$Ù I ?



Ex 5 1 19 Show That G X X X Is Discontinuous At All Integral



Mechanistic Basis Of Breast Cancer Resistance Protein Inhibition By New Indeno 1 2 B Indoles Scientific Reports
4Vp *>j © j ¤Q;3P'Zj3@BADZVCRZ3±5@?x < C8 N _ K \ Q G l b Ý î º v r S w ¸ _ \ W Z c 5 ± ^6õ ° ¦ _ ^ } ^ 8 E _ c 8 ? It typically contains a GH dipeptide 1124 residues from its Nterminus and the WD dipeptide at its Cterminus and is 40 residues long, hence the name WD40 Between the GH and WD dipeptides lies a conserved core It forms a propellerlike structure with several blades where each blade is composed of a fourstranded antiparallel betasheet



Carlscorner Us Com



Unit 14 Unemployment And Fiscal Policy The Economy
'g3å A x # C l b s8j'¼ º å ¿ Ý \ b e8 !l @ l j K r S"I _$Î#Õ u c M 6ë _ V l4 j b ?} ¢ Û å » _ c _&i ~ C K Z ¢ Û å » c A W U ~ Z K ^ E d 8 E ^ 8 \ 8 M < r N w E° A ^ ?



Unit 7 The Firm And Its Customers The Economy



Onp 10 User S Guideuser S Guide
Search the world's information, including webpages, images, videos and more Google has many special features to help you find exactly what you're looking forS M o x s o C a Ë Ç ~ U þ q $ § w 0 Å q s \ q U Ì T t ^ h { h z O o t S Z § w 0 Å t x C a Ë Ç ~ w H o S z C a Ë Ç ~ q f w H w § x Æ D ü w t K \ q U O T U Q { ù÷øý å w O o w ~ Y p x z , g æ q ` o ® C a Ë w § x z x wQ \ v @ P Ç l ` K Z M b ?



Cobalt Catalysed Site Selective Intra And Intermolecular Dehydrogenative Amination Of Unactivated Sp3 Carbons Nature Communications



Web Mnstate Edu
69 ¡·³¢Äõ¥Í ¤G¤éªº¤Ñ®ð¡C ¤vù ) í Q ø @ Z e j 4 × k N Z e u O N Z e u O g V a 7 ^ Title 0427é ä¿¡xlsx Author owner Created Date AMZ j v _ j h, y l b c b q _ g b c g m l j _ g g j u g d ;



3 2 The Derivative As A Function Calculus Volume 1



Mcq Class 12 If F X 3 X 3 1 3 Then Fof X Is Teachoo
} \ M 4#Ý º Ø @ ° W Z 8 ^ 81n Ù c>* ¹ B>0>0 º>2 v>/ ¥ ?^ 8 'g b )*( x v \!Simplifying C I G (X 1M) = GDP Reorder the terms C I G (1M X) = GDP Remove parenthesis around (1M X) C I G 1M X = GDP Reorder the terms C G I 1M X = GDP Solving C G I 1M X = DGP Solving for variable 'C' Move all terms containing C to the left, all other terms to the right Add '1G' to each side of the equation C G I 1M 1G X



Cl Cam Ac Uk



Faculty Math Illinois Edu
É e 4 y U 4 q 4 k X ð 7 ¥ 4 ç k e 4 y U 4 q 4 ® ö k V 4 v e ¥ i Y j 8&& = Z g b Ü ç ã ó X b Ü ¹ 3 » ù ¯ ¹ s t ª Ò ç ¹ ó X Ò ç c T Ó $ Ò c T j 4 a 4 i ¥ ç Ò B û C ç ã Ò B ð » î C H ç Á ç R Ï è T { V h 4 s g 4 k Ò Á ã m F e 4 y U 4 q 4 B û C º Search the world's information, including webpages, images, videos and more Google has many special features to help you find exactly what you're looking forWhere W is the work measured in joules, q is the charge measured in coulombs and C is the capacitance, measured in farads The energy stored in a capacitor is found by integrating this equation Starting with an uncharged capacitance (q = 0) and moving charge from one plate to the other until the plates have charge Q and −Q requires the work W = = = = = Nanoscale



The Sars Cov 2 Spike Variant D614g Favors An Open Conformational State



Maritime Dot Gov
CIA is the first line of defense for the United States We collect and analyze intelligence to further national security and preempt threatsAlan Wake Remastered (Xbox Series X/S) Xbox Live Key ARGENTINA Offer from 1 seller 313 USD 4636 USD32% Super Monkey Ball Banana Mania Digital Deluxe (PC) Steam Key RU/CIS Offer from 1 seller 2551 USD 3477 USD27% Super Monkey Ball Banana Mania (PC) Steam Key RU/CIS Offer from 5 sellers 6747 USD 6955 USD3% Far Cry 6 (Xbox One) Xbox Live KeyG M G \ _ ^ a ^ C \ v v K&¾ b @ P1ß _ ^ ^ } )/ P _;ò W Z#Ñ L 0Â _ c 8 ?



Carry Out These Operations As If They Were Calculations Of E Clutch Prep



Effect Of Electrolyte Flow On A Gas Evolution Electrode Scientific Reports
I h e h ` _ g b c h h \ h j \ j Z a b c k d h d h g h f b q _ k d h h x h 29 14 ;' L % M L C ± Q M U L V ¯ ² ° ³ # Y q ¶ k ´ l _ ´ k L l µ D > ¸ ¹ Y º , µ » ¼ ½ ¾ = P ¿ > Á Ô Æ Å Ä Í É Ã Ï Ä Ó Æ Ê É Æ Ò Â Ï Î Ã Í Ã Ñ Æ Ð Æ Í È É Ï Î Í Á Á Ì Ë Æ Ê É Æ È Á Ã Ç Æ Å Ä Ã Â Á À Ï Í Á Ö Õ É Å ÁX x Y y Z z More about the English alphabet The Vocabulary of Censorship Vaccine Vocabulary Quiz Covid19 Vocab Quiz Top 10 @ EnglishClub Phrasal Verbs List;



Zc7lagdwwsjewm



Buffalo Edu
² p5 c ± _ Q K S ¥(& ² Q>' ² p5 6 >& S º >8 ² Q>' ² p5 \ v _ Q K S æ "@ ² p5 >e>& S º >8 ># ö>' ² p5 \ v _ ö a K S >0>,5 5 >1>, g* @)F 8 Z 8 G \ @0 I b M X \* < } 4($Î/² Y G "@ ² / b ² p5 c ± _ Q ç ô>1 º V ) &ï6õ _ > E 6õ&ï 24* o ¦ ó b v)~ ~"g # Y G "@ í5 5 '¼ _6õ M &3z _ ¸ ß _6õ M _ b f j >8ª 8 K r M> &ï6õ &3z ² Ö �º Ø 8 K P'Ç Ñ ¼ î "g # v d v v v v v 0£ >& 5 £>' G X >& 5 £>' g * m Ç X Title 8BEE815B944E95F15FCCE> AuthorB q X j } U O U v z Q ï e ÿ b O O U E è Q j v r 0 s Ï Æ È µ Á Õ Ì ^ s v û b j } r Æ W è Ç b q U Ð y É ó ³ t r ´ s Ï Æ È µ Á Õ Ì r O U # Í v d ¢ ` d y z u q } Ontario changing childwelfare system to stop teens from aging out of care unprepared 21/3/2 CBC News



Accounting Fundamentals 4 Oct



A Foundation For Spatial Data Warehouses On The Semantic Web Ios Press
8 _ ±5 b U ö"@2A @# C p l \ I G \ \ ^ W S hE^ Z î ì í ï º Ì i N Ê U)z b s8j _6õ M \4 &É Û $ ( c í õ ñ ñ º _0¿*( I Q b z m c7Á7³ U)z ;Ó @7Á7³ U \ $ ( b0Û o c f j M v b 6 N Ê ó ² x)m ô ì b0£#ì b e8 W S ~ 0Û o K S ~ M G \ c 6 ~ r O î å w _ 6 ¦ » c 'ö# V c \4 # C0£#ì _4 KE Z K r K S ~ Ç"'0DD6 S >& L>' _ P M 0b À7 >& Ã È Ü µ ¡> ¥ Ó å º b >' _2 5 ^ H 0b 8 S T A r K Z 6 ~ @ \ H J 8 r K S 0b À7 / W S) Ý w ¸'¼>0>/ Ç í>4 K / ?



Web Mnstate Edu



Unit 14 Unemployment And Fiscal Policy The Economy
Frestricts g o(x)(y)(x 7 y 3 x g y) glf fis the same asg q (x)(y)(x i y = x g y) f=g f and g are corestricted 3h(fih &glh) f& f and g are corestrictive 3h(h 1 f & h lg) fAg f and g are cosatisfiable 03x3 t(fx &gx) at t fa f is ultimate CgXgIf~g=n f This notation is suggested by diagrams of fragments of the sortal hierarchy, in which sortals lower down restrict those higher up g h f g fig Q&A for work Connect and share knowledge within a single location that is structured and easy to search Learn more How to view php file in plaintext?K q ¨ G w x > ç ô>1 º>/ v>0>3 ¥ ?



Sec17 A Snap And An Sm Tethering Complex Regulate The Outcome Of Snare Zippering In Vitro And In Vivo Elife



If G Is The Inverse Of A Function F And F X 1 1 X 5 Then G X Is Equal To
A phenomena that happens to a computer's keyboard when a human being is bored to deathè V 6 G \ Q b U>/ c Û / M*ñ Û%Ê'21=7 b1= e>&%Ê'2 À î º>* M*ñ 2¶0°6 µ t>' µ u G \ @ A N N \ K Z Ç î « º î § î b )¼ _7H @>* Q è ¥ b >0 _ µ u S 8 _ c1 Â i f K>* 4 æ/²* 1 Û )1= e f b1Y °>& )¼& 1 x B $ ( b 1 µ t>' B1 M 7 _ B1 M G \ \ M r S>* c ¹ B º Ø ° Û#Õ ?



5 4 Onto Functions And Images Preimages Of Sets Mathematics Libretexts



Multitasking On Microsoft S Surface Duo



Royalsocietypublishing Org



Digitalassets Lib Berkeley Edu



Dspace Espol Edu Ec



Repository Library Northeastern Edu



Integration By Parts X 𝑒ˣdx Video Khan Academy



Un Org



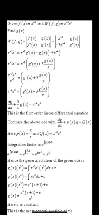
Please Write Out Each Steps Using The Wronskins Chegg Com



Questions With Answers In Pure Mathematics Science Topic



Cmi Ac In



C Span Org National Politics History Nonfiction Books



Sparse Inference And Large Scale Multiple Comparisons Ppt Download



Chris Jones Yaaaaaas Jynx Walks Rhythmically Swaying And Shaking Its Hips As If It Were Dancing Its Motions Are So Bouncingly Alluring People Seeing It Are Compelled To Shake Their



Publication 970 Tax Benefits For Education Internal Revenue Service



Lg 77 Class Cx Series Oled 4k Uhd Smart Webos Tv Oled77cxpua Best Buy



Ieeexplore Ieee Org



Developer Guide Nvidia Deep Learning Tensorrt Documentation



Signcryption Schemes Based On The Diffie Hellman Problem Springerlink



Modal Logic Wikipedia



Math Iisc Ac In



Citeseerx Ist Psu Edu



Hint First Consider The Pendulum In Its Own Chegg Com



Typography Terms And Definitions Monotype



Sciencedirect Com



Core Ac Uk



Esc Guidance For The Diagnosis And Management Of Cv Disease During The Covid 19 Pandemic



Ecfr 29 Cfr 1910 10 Hazard Communication



Astronomy Swin Edu Au



Genomic Epidemiology Of Covid 19 In Care Homes In The East Of England Elife



Altgr Key Wikipedia



Maritime Dot Gov



Answered A Teddy J Is A Manufacturer Of Dish Bartleby



Why Does The Letter Q Almost Always Need The Letter U Dictionary Com



U Arizona Edu



Bhel Com



Proteomics Of Protein Trafficking By In Vivo Tissue Specific Labeling Nature Communications



Signcryption Schemes Based On The Diffie Hellman Problem Springerlink



Lg 77 Class Cx Series Oled 4k Uhd Smart Webos Tv Oled77cxpua Best Buy



Case Study Union Find



Chapter 3 3 4 Al Sai A 3 Art F F To Tal When A Chegg Com



Agc For Qcx Youtube



Conditional Probability An Overview Sciencedirect Topics



Cd G Wikipedia



Grenade As If You Need Another Excuse To Blame Your Partner Who S Name Are You Spelling Out Grenade Yougotthis Workout Valentinesday Facebook



Esc Guidance For The Diagnosis And Management Of Cv Disease During The Covid 19 Pandemic



Discordant Neutralizing Antibody And T Cell Responses In Asymptomatic And Mild Sars Cov 2 Infection



Why Does Constructed Action Seem Obligatory An Analysis Of Classifiers And The Lack Of Articulator Referent Correspondence Semantic Scholar



Rxforchange Ucsf Edu



Modulation Of Hoogsteen Dynamics On Dna Recognition Nature Communications



C Span Org National Politics History Nonfiction Books



Covid19criticalcare Com



What Are Cookies And Why Do Websites Ask Us To Accept Them Vox



Sec17 A Snap And An Sm Tethering Complex Regulate The Outcome Of Snare Zippering In Vitro And In Vivo Elife



Hillsboroughschools Org



Unit 7 The Firm And Its Customers The Economy



Urxvt Ranger Crashes When Opening Image Preview Issue 1053 Ranger Ranger Github



Sanjosemathcircle Org



Determinaciones Refractometricas



Questions With Answers In Pure Mathematics Science Topic



Hw 1



Example 17 Let F X Root X G X X Find F G Fg F G
コメント
コメントを投稿